欢迎来到张家港阿拉宁生化技术有限公司!
中文
|
英文
购物车
0
首页
Product Categories
药物肽项目合作
难肽合成
PEG化修饰
多肽试剂
多肽试剂
关于阿拉宁
关于我们
联系我们
Toggle navigation
首页
Product Categories
药物肽项目合作
难肽合成
PEG化修饰
多肽试剂
多肽试剂
关于阿拉宁
关于我们
联系我们
首页
Product Categories
PEG Lipids
DSPE-PEG
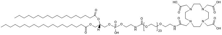
产品名称:DSPE-PEG24-DOTA
产品编号:LNP0069
化学性质
别名:
Cas号:
纯度限制:
96%+
分子量:
2234.81
分子式:
C
106
H
205
N
6
O
40
P
存储条件:
-20℃
可溶性:
运输条件
Deliver with ice bag
质量控制和MSDS
检索质量检验报告(COA)
搜索
搜索MSDS
搜索
描述
参考
相关产品
全国免费电话:400-0707518
电话: 512-58900862
sales@alabiochem.com
本产品由我们生产供应
现在就联系我们!
我们将为您提供最优惠的价格
×
询价
CAS号
包装规格
纯度
数量
预期价格
单位名称
产品名称
联系人
联系电话
Email
备注
验证码
请填写图片中的字符。